Investor Relations
Corporate Governance
Codes & Policies
Edit Content
- Policy on Corporate Code Of Conduct
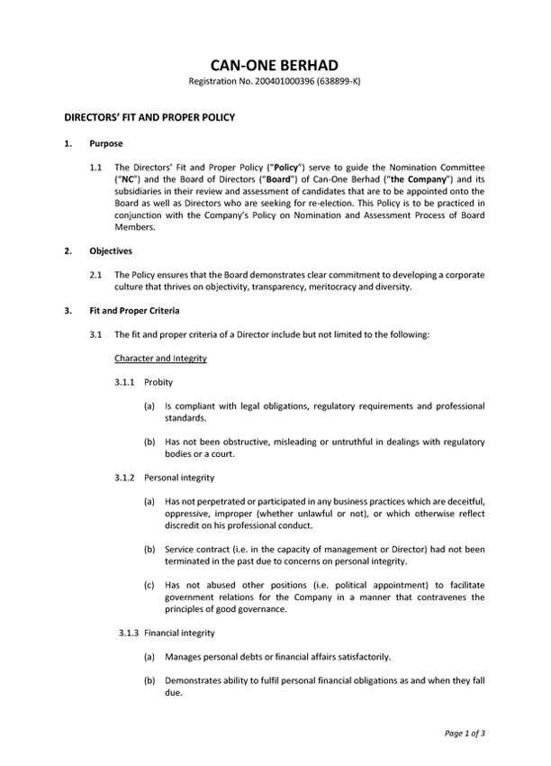
- Directors’ Fit And Proper Policy
- Remuneration Policy for Directors and Senior Management
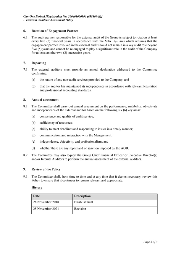
- External Auditors’ Assessment Policy
Edit Content
- Policy on Whistle Blowing
- Anti-Corruption Policy
- Standard Operating Procedure - Anti-Corruption
- Personal Data Protection Notice (PDPN)
Edit Content
- Sustainability Policy
- Occupational Health and Safety Policy
- Environmental Policy
Edit Content
- Procurement Policy
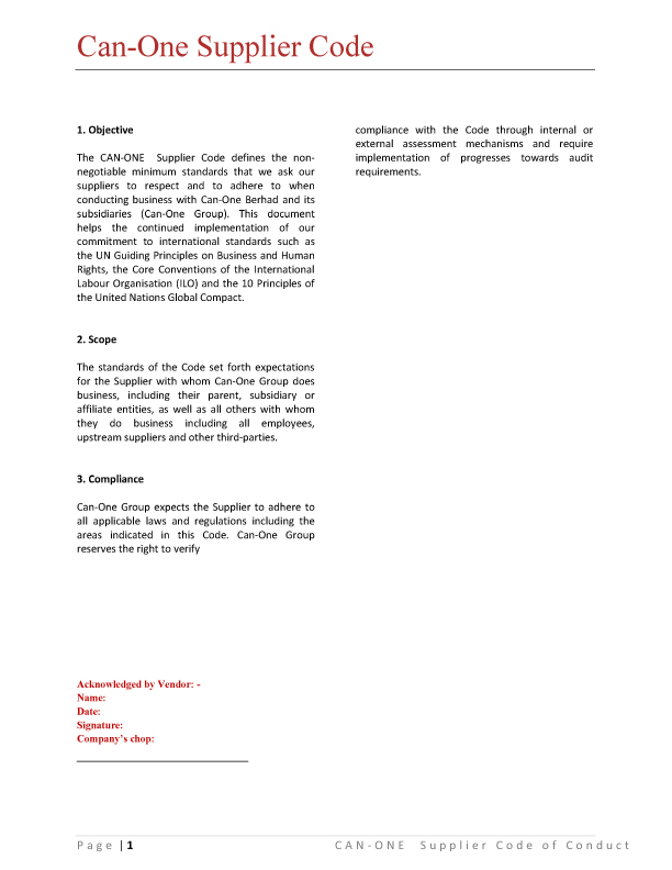
- Suppliers Code of Conduct
Board and Management Oversight
Edit Content
Edit Content
Edit Content
Ethics and Compliance
Edit Content
Edit Content
Edit Content
Edit Content
Sustainability and Environmental
Edit Content
Edit Content
Edit Content
Supply Chain and Procurement
Edit Content
Edit Content











































